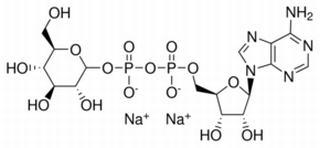
中文名稱 : 腺苷5'-二磷酸葡糖二鈉
其他中文名稱 : 5'-二磷酸葡萄糖腺苷二鈉鹽
英文名稱 : ADP-Glucose
其他英文名稱 : ADP-glc;ADPG;Adenosine-5′-diphosphoglucose disodium salt
C A S : 102129-65-7
C16H23N5Na2O15P2=633.31
級(jí) 別 : BR
純 度 : ~95%
性 狀 : 白色或類(lèi)白色粉末,溶于水:50mg/ml
用 途 : 生化研究。
保 存 : -20℃
購(gòu)物車(chē)
幫助
021-54845833/15800441009
