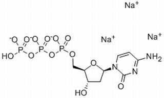
中文名稱 : 三磷酸脫氧胞苷三鈉鹽
其他中文名稱 : 2′-脫氧胞苷-5′-三磷酸三鈉鹽;胞嘧啶脫氧核糖 5ˊ-三磷酸三鈉鹽;2'-脫氧胞嘧啶-5'-三磷酸三鈉鹽
英文名稱 : dCTP,3Na
其他英文名稱 : 2′-Deoxycytidine-5′-triphosphate trisodium salt dihydrate solution
C A S : 109909-44-6
C9H13N3O13P3Na3?2H2O=569.03
級 別 : Biotech grade
含 量 : ≥98.0%
濃 度 : 100mM
P H : 7.0
級 別 : Ultra Pure Grade
Em(280nm,Ph2.0) : >12400
性 狀 : 白色粉末
性 狀 : 液體
用 途 : 生化研究,組成DNA的核苷酸
保 存 : -20℃
購物車
幫助
021-54845833/15800441009
